在生命科学的微观世界中,磷脂是构成所有细胞膜的基本骨架。其中,磷脂酰丝氨酸作为一种至关重要且功能独特的酸性磷脂,尤其在神经系统中扮演着不可或替代的角色。本文将以来源于牛脑、结构明确的1,2-二硬脂酰-sn-甘油-3-磷酸丝氨酸为例,系统阐述其化学本质、生物学功能及其在科研与应用中的广泛价值。

作为Larodan在中国的区域总代理,环球ug登录科技强烈推荐Larodan热销产品磷脂酰丝氨酸(脑,牛源)。产品仅用于科研,不可用于临床诊断。
| 产品名称 | 货号 | 详情 |
磷脂酰丝氨酸(脑,牛源) | 37-0160-5 | 查看 |
一、分子标识与化学特性
该特定产品的编号为37-0160,CAS号为51446-62-9。它拥有一系列同义词,如1,2-二硬脂酰-sn-甘油-3-磷酸丝氨酸 或DSPS,这些名称精确地描述了其分子结构。其分子式为C42H82NO10P,分子量约为792.08 g/mol。
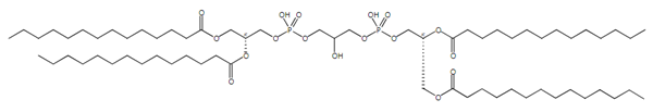
从化学结构上看,它是一个结构高度明确的分子:
*甘油骨架:作为分子的核心,遵循天然的*sn*-甘油立体构型。
*酰基链:在甘油的第1和第2位(*sn*-1和*sn*-2位)上,均通过酯键连接着完全饱和的硬脂酸。这意味着两条酰基链都含有18个碳原子且无双键(C18:0)。这种饱和的、对称的链结构赋予分子特定的物理化学性质,使其在膜研究中成为一个稳定且可预测的模型。
*极性头基:在甘油的第3位(*sn*-3位),连接着整个分子的“灵魂”所在——磷酸丝氨酸头基。这个头基包含一个带负电的磷酸基和一个同时带有正电(氨基)与负电(羧基)的丝氨酸基团,使得整个头基在生理条件下呈现净负电性,并且具备两性离子的特性。
这种独特的结构,通过其等构SMILES和InChI标识符中的立体化学信息(如“[t38-,39+]”)得以精确表征,确保了分子在空间构型上的正确性。
作为科研试剂,该产品纯度极高(>98%),以固体形式存在,但为便于使用和保持稳定性,通常溶于适当的溶剂(如氯仿-甲醇混合液)中提供,并需在冷冻条件下储存。
二、生物学功能:超越结构组分的动态信使
磷脂酰丝氨酸并非惰性的结构材料,而是一个功能多样的活性分子,其功能主要体现在以下两个层面:
1. 膜不对称性与细胞凋亡的“旗帜”
在健康的活细胞中,PS主要分布于细胞膜的内膜面。这种严格的空间分布被称为膜不对称性,由特定的酶系(翻转酶)主动维持。然而,当细胞启动程序性死亡(凋亡) 时,这一平衡被打破。PS会迅速地从膜的内侧翻转到外侧,暴露在细胞表面。
这个“翻面”行为是一个至关重要的“吃我”信号。专门的免疫细胞(如巨噬细胞)通过其表面的受体识别暴露的PS,随后温和地吞噬并清除这些凋亡细胞,而不引发炎症反应。这一过程对于胚胎发育、组织重塑和免疫稳态的维持至关重要。
2. 神经系统中不可或缺的多功能分子
PS在脑组织中含量尤为丰富,其神经功能备受关注:
*信号转导的枢纽:PS是多种关键信号蛋白(如蛋白激酶C、Raf-1激酶)激活所必需的“停泊位点”。这些蛋白需要募集到富含PS的膜区域才能完全激活,进而调控神经元的生长、分化、囊泡运输和神经递质释放。
*神经递质释放的调节器:它直接参与突触前膜中突触小泡与膜的融合过程,对乙酰胆碱、多巴胺等重要神经递质的释放有促进作用。
*细胞活力的支持者:研究表明,补充PS可能有助于增强神经细胞的葡萄糖代谢、改善膜流动性,并支持胆碱能系统功能,这与学习记忆密切相关。
三、研究与应用价值
来源于牛脑的PS,因其具有与哺乳动物神经系统天然PS相似的头基和酰基链组成(尽管天然脑PS的酰基链更多样且高度不饱和),在历史上和现代研究中都具有重要价值:
*基础研究的黄金标准:在生物物理和生物化学研究中,这种结构明确的合成PS(如DSPS)是构建模型生物膜的理想材料,用于精确研究脂-蛋白相互作用、膜融合机制以及凋亡信号的分子细节。
*脂质体学的关键组分:在药物递送领域,PS被用于制备脂质体。利用其负电性和作为凋亡信号的特征,可以设计出靶向特定组织(如大脑)或专门被特定细胞(如巨噬细胞)吞噬的智能纳米药物载体。
*认知健康与营养补充剂的探索:虽然早期的一些膳食补充剂来源于牛脑PS,并显示出在改善年龄相关记忆衰退、缓解压力等方面的潜力,但由于对疯牛病等安全问题的担忧,现代商业PS补充剂主要转向大豆等植物来源。尽管如此,牛脑PS的基础研究为其作用机制提供了坚实的理论依据。
Larodan 公司成立于 1963 年,坐落于瑞典斯德哥尔摩的卡罗林斯卡学院(诺贝尔奖委员会所在地)中,主要从事高纯度脂类的开发,制造和销售,产品包括脂肪酸,脂肪酸脂,甘油三酯,蜡脂,磷脂,鞘脂等,也提供稳定的放射性同位素化合物,NMR 消耗品和特种生化试剂以及环境和法医标准等,提供从ug 到 g 级包装,标准纯度高于99%。所有产品都附有分析证书,拥有很高的性价比。
作为Larodan 在中国区总代理,环球ug登录科技有限公司将为中国客户提供全面的Larodan 产品以及客户订制化服务,欢迎大家随时联系我们。
微信扫码在线客服