
Abbexa官网:https://www.abbexa.com/
Abbexa总部位于英国剑桥的剑桥科学园,是一家专业的全球抗体供应商和蛋白质供应商,致力于为生命科学、药物开发和生物技术领域的科学家和研究者提供最佳的客户体验和高质量的产品。产品涵盖一抗、二抗、蛋白质、ELISA试剂盒、酶以及其他用于研究的试剂盒和工具。无论您是进行学术研究,药物开发,疾病研究还是其它生物学研究,Abbexa的单克隆抗体,多克隆抗体,蛋白质和生物试剂均旨在促进您的研究。如果很难找到合适的抗体来满足您的需求,Abbexa还提供了定制蛋白质,肽和抗体的生产渠道。
Abbexa产品线:

Abbexa特色产品推荐:
| 热门指标 | 特色产品 | 推荐货号 |
| D-二聚体 | 小鼠D-二聚体ELISA试剂盒 | abx258705 |
| 肿瘤相关蛋白 | 人P53蛋白 | abx060205 |
| 白脂素 | 小鼠白脂素ELISA试剂盒 | abx585287 |
| 糖化白蛋白 | 人糖化白蛋白ELISA试剂盒 | abx252493 |
| 补体C5 | 小鼠补体C5的ELISA试剂盒 | abx153740 |
| 促甲状腺激素 | 小鼠促甲状腺激素ELISA试剂盒 | abx575817 |
| 三碘甲状腺原氨酸(T3) | 三碘甲状腺原氨酸ELISA试剂盒 | abx513003 |
| 二十二碳六烯酸(DHA) | 二十二碳六烯酸ELISA试剂盒 | abx258057 |
作为中国的区域Abbexa代理,环球ug登录科技有限公司将为中国客户提供最全面的Abbexa产品。下图为Abbexa公司授权环球ug登录科技有限公司(AmyJet Scientific Inc.)作为Abbexa在中国区域的代理授权书。

作为Abbexa代理,环球ug登录科技有限公司具有尖端的技术实力、一流的经营管理水平和完善的市场销售体系的生物高科技企业,武汉环球ug登录科技有限公司一直努力为中国客户提供全球最具性价比的生命科学及药物研发技术和产品。凭借着独一无二的市场支持以及销售网络,我们将一如既往的在中国为Abbexa用户以及代理商提供如下的金牌服务保障:
1、更具品质保障的Abbexa产品和技术方案(Abbexa作为全球抗体和蛋白质供应商,为中国客户提供完整的高品质抗体蛋白质和ELISA试剂盒研究产品方案);
2、更高价格优势和性价比的选择,我们将一如既往的为客户和代理商提供最具价格竞争力的产品和全面的售后保障(作为中国区域代理,我们能提供最大的价格优惠和更全面的技术支持);
3、更快捷的到货时间,我们将以更短的订货周期,更快捷的国际物流以及报关时间为您提供最节省时间的供货保证(环球ug登录具有独立的进出口和报关权,因此提供更快捷的到货保障)。
Abbexa产品线包括一抗、二抗、同型对照、蛋白质、酶联免疫 (ELISA)试剂盒和酶等生物试剂。与全球各地的实验室合作,致力于为生物医学研究市场开发相关的,经过测试的高质量产品。
作为在中国的区域Abbexa代理,环球ug登录科技有限公司将为中国客户提供最全面的Abbexa产品以及客户订制化服务。

本研究旨在通过识别猴痘病毒E8L蛋白与神经节苷脂GM1的结合基序,并结合B细胞表位预测,提出一种新的疫苗策略。
本研究旨在探讨接受体外循环(CPB)心脏手术的新生儿围手术期胶质纤维酸性蛋白(GFAP)水平的变化,并评估其与脑氧合之间的关系。
在文献中,Mouse D-Dimer ELISA Kit(货号abx258705) 的主要应用是用于定量检测小鼠样本中的 D-Dimer 水平
SARS-CoV-2 Spike Protein RBD(KP.2变体)的中和抗体在文章中发挥了关键作用,帮助研究人员评估了病毒变体的免疫逃避能力,为疫苗设计和公共卫生策略提供了重要的科学依据
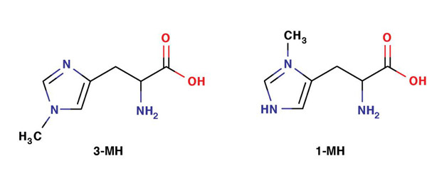
Abbexa特色3-甲基组氨酸(3-MH)ELISA试剂盒,用于体外定量测量血清、血浆等样本中的3-甲基组氨酸(3-MH)浓度。
Abbexa特色人脂磷壁酸(LTA)ELISA试剂盒,用于体外定量测量人血清、血浆等样本中的脂磷壁酸(LTA)浓度。助力科研!
为您推荐Abbexa品牌的不同种属的促甲状腺激素(TSH)ELISA试剂盒等相关产品。提供了一系列独特而可靠的产品来支持研究中的促甲状腺激素分析。产品仅用于科研,不可用于临床诊断。
糖化白蛋白和人糖化白蛋白ELISA试剂盒等相关产品。提供了一系列独特而可靠的产品来支持研究中的糖化白蛋白(GA)分析。产品仅用于科研,不可用于临床诊断。
微信扫码在线客服