在鞘脂家族的精细调控网络中,脂肪酸链长与饱和度的微小差异足以引发生物学功能的显著分化。当我们将目光投向那些非典型的奇数碳链成员时,一个更为精巧的调控维度便展现在眼前。C17-神经酰胺(产品编号:56-1136,CAS号:67492-16-4),以其十七碳饱和脂肪酸链这一独特结构,突破了天然脂质多以偶数碳存在的常规,成为揭示鞘脂链长特异性生物学效应的关键分子工具,在基础膜生物学与信号转导研究中展现出不可替代的价值。

作为Larodan在中国的区域总代理,环球ug登录科技强烈推荐Larodan热销产品C17-神经酰胺。产品仅用于科研,不可用于临床诊断。
| 产品名称 | 货号 | 详情 |
| C17-神经酰胺 | 56-1136-5 | 查看 |
一、精准的化学结构与特性分析
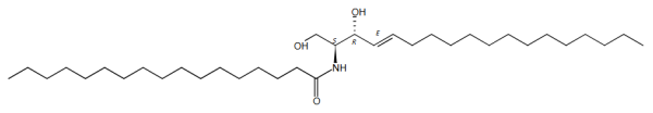
C17-神经酰胺的系统化学名称为“十七烷酰胺,N-[(1S,2R,3E)-2-羟基-1-(羟甲基)-3-十七碳烯-1-基]-”,在学术文献中也常简洁地标记为 Cer d18:1/17:0。其分子式为C35H69NO3,分子量为551.93 g/mol。该分子由经典的D-赤型-鞘氨醇(d18:1)与一个完全饱和的十七碳脂肪酸(十七烷酸)通过酰胺键连接而成。
其最核心的特征在于连接的脂肪酸链含有17个碳原子,是一个奇数碳链。这一结构差异虽看似微小,却从物理化学层面带来了独特性质。与常见的偶数碳链同系物相比,奇数碳链的引入破坏了分子整体的对称性,影响了其在晶格或脂双层中的最终堆积方式和分子间相互作用力。这可能导致其膜相行为、与邻近脂质(如胆固醇)的侧向相互作用以及在水界面处的排列取向发生微妙改变。其精确的立体构型由等规SMILES及唯一的InChIKey(ICWGMOFDULMCFL-QKSCFGQVSA-N)严格界定。本产品以>98%的高纯度固态形式提供,需在冷冻条件下储存以确保稳定性,并随附分析证书。
二、核心研究价值与生物学意义
C17-神经酰胺的主要价值并非作为广泛的天然生物组成成分,而是作为一个精密的研究探针,服务于以下几个前沿科学领域:
1.链长特异性效应的精密解析工具
在鞘脂生物学中,一个核心问题是:不同链长的神经酰胺如何执行其特异性功能?利用C17-神经酰胺与C16、C18等偶数碳链同系物进行对比研究,是回答这一问题的黄金策略。通过将细胞暴露于这些结构高度相似、仅链长存在奇偶差异的神经酰胺中,研究人员可以精确观察其对膜流动性、脂筏组装、细胞凋亡效率、自噬激活乃至特定信号通路(如AKT/PKB通路)影响的细微差别。这种“控制变量”式的研究,能够最清晰地揭示链长本身,特别是碳原子数奇偶性,对神经酰胺功能的独立贡献。
2.膜生物物理学的理想模型分子
在人工膜模型(如脂质体、支撑脂双层)研究中,C17-神经酰胺是探究脂质-脂质相互作用的宝贵工具。其奇数碳链引入的“不对称性”和“空间位阻效应”,有助于科学家理解神经酰胺如何影响脂双层的厚度、弯曲模量、相分离行为以及纳米微域的形成。这些基础物理参数的获取,对于从根本上阐释神经酰胺在膜融合、膜蛋白功能调控等核心细胞过程中的作用机制至关重要。
3.代谢示踪与合成酶特异性研究
在细胞内,不同链长的神经酰胺由特异的神经酰胺合酶(CerS)催化合成。例如,CerS1偏好生成C18-神经酰胺,而CerS5/6主要生成C14-/C16-神经酰胺。C17-神经酰胺作为一种在哺乳动物细胞中非天然的物种,当其作为前体被细胞摄取后,可以作为一种独特的“示踪剂”。通过追踪其代谢命运(例如,是否会进一步延长、是否会用于合成更复杂的鞘脂如鞘糖脂),研究人员能够剖析鞘脂代谢网络的 plasticity 与底物宽容度,并探究不同CerS的底物选择特异性机制。
4.药物递送与材料科学的潜在应用
从应用角度看,C17-神经酰胺独特的物理化学性质为其在生物技术领域的应用提供了可能。在构建脂质体药物递送系统时,掺入C17-神经酰胺可能会改变脂质双层的包装密度和稳定性,从而调节药物的包封效率与释放动力学。其奇数碳链可能赋予脂质体不同于常规偶数碳链神经酰胺的体内循环特性和与细胞膜的相互作用方式。
作为Larodan 在中国区总代理,环球ug登录科技有限公司将为中国客户提供全面的Larodan 产品以及客户订制化服务,欢迎大家随时联系我们。
微信扫码在线客服