在生命科学的微观世界中,脂质分子远不止是构成细胞膜的静态砖石,它们更是活跃的信号传导使者,其中,神经酰胺家族因其在细胞调控中的核心作用而备受关注。C18:1-神经酰胺(产品编号:56-1139)作为这一家族中一个结构独特且生物学意义重大的成员,为研究人员提供了探索细胞生命奥秘的关键工具。

作为Larodan在中国的区域总代理,环球ug登录科技强烈推荐Larodan热销产品C18:1-神经酰胺。产品仅用于科研,不可用于临床诊断。
| 产品名称 | 货号 | 详情 |
| C18:1-神经酰胺 | 56-1139-4 | 查看 |
一、精确的分子标识与命名
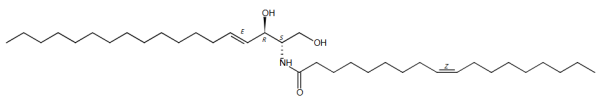
C18:1-神经酰胺拥有明确的身份标识,其化学文摘社登记号(CAS号)为5966-28-9,确保了其在全球化学品数据库中的唯一性。它也被称为N-油酰基-4-鞘氨醇或神经酰胺18:1,这些同义词从不同角度描述了其来源与构成。其系统性的CAS索引名称为“(9Z)-N-[(1S,2R,3E)-2-羟基-1-(羟甲基)-3-十七碳烯-1-基]-9-十八碳烯酰胺”,这个冗长而精确的名称揭示了分子最深层的结构秘密:(9Z)和(3E)指明了分子中两个双键的立体构型(Z构型即顺式,E构型即反式),而(1S,2R)则标定了手性中心的绝对构型。这种对立体化学的精确界定,对于理解其生物活性至关重要,因为生物体系对其识别具有高度的立体专一性。
二、复杂的化学结构与特性
从分子式C36H69NO3和分子量563.94道尔顿可以看出,C18:1-神经酰胺是一个较大的脂质分子。其结构由两部分精巧构成:一个是源自鞘氨醇碱基的长链骨架,其本身带有一个反式双键(E构型);另一个则是通过酰胺键连接在鞘氨醇上的油酰基(C18:1),该酰基链上含有一个顺式双键(Z构型)。
这种独特的双键组合——鞘氨醇部分的E式双键和酰基链上的Z式双键,共同决定了分子的整体空间构象和物理化学性质。线性描述符如SMILES串列和等构SMILES以代码形式清晰地描绘了原子的连接顺序与双键的构型。而国际化学标识符InChI及其密钥(InChIKey=OBFSLMQLPNKVRW-RHPAUOISSA-N)则提供了标准化的数字“指纹”,便于在计算化学和数据库检索中进行快速、准确的识别与比对。
三、高纯度产品与研究价值
作为一款研究级标准品,本产品(货号:56-1139-4,规格5毫克)的质量控制至关重要。其纯度经认证分析证书确认为>98%,这一高标准极大地保障了实验结果的可靠性与可重复性,避免了因杂质干扰而导致的错误结论。产品以纯净的固态形式提供,为确保其长期稳定性与活性,必须遵循于冷冻条件下储存的要求。
C18:1-神经酰胺的核心研究价值在于其在生物体内的天然代表性。与结构类似的C10-神经酰胺等短链类似物不同,C18:1-神经酰胺的酰基链更长且带有一个顺式双键,这使其在物理性质上更接近哺乳动物细胞中天然存在的神经酰胺。这个顺式双键在油酰基中引入了一个“弯折”,显著影响了分子在细胞膜中的堆积行为、流动性和微区(如脂筏)的形成能力。
在生物学功能上,神经酰胺是细胞信号传导的核心分子之一,广泛参与调控细胞周期、分化、衰老以及程序性死亡(凋亡)。特别是C18:1-神经酰胺,研究发现它在特定的细胞过程中扮演着不可替代的角色。例如,它被证实与胰岛素敏感性、能量代谢平衡以及内质网应激响应等关键生理病理过程密切相关。相较于其他链长和饱和度的神经酰胺,C18:1-神经酰胺可能通过激活特异性的下游通路,或通过改变特定细胞器膜的物理特性来行使其独特功能。
综上所述,C18:1-神经酰胺不仅仅是一个化学结构式,它更是一把开启细胞信号传导奥秘之门的精密钥匙。其明确的结构信息、高纯度的产品质量以及贴近天然分子的生物学特性,使其成为细胞生物学、代谢研究、药理学等领域不可或缺的研究工具。通过对这种特定神经酰胺的深入探究,科学家们能够更清晰地描绘出脂质信号网络的复杂图谱,进而为理解生命过程、开发相关疾病治疗策略提供坚实的理论基础。
作为Larodan 在中国区总代理,环球ug登录科技有限公司将为中国客户提供全面的Larodan 产品以及客户订制化服务,欢迎大家随时联系我们。
微信扫码在线客服