在皮肤屏障研究与护肤科学领域,对成分“仿生”特性的追求是提升其功效与相容性的关键。N-棕榈酰-植物鞘氨醇(产品编号:56-1163)正是这一理念的杰出代表。作为一种将植物鞘氨醇与长链棕榈酸相结合的鞘脂,它凭借其与人体自身脂质极高的相似性,在修复与维护皮肤健康屏障方面展现出卓越潜力。

作为Larodan在中国的区域总代理,环球ug登录科技强烈推荐Larodan热销产品N-棕榈酰-植物鞘氨醇。产品仅用于科研,不可用于临床诊断。
| 产品名称 | 货号 | 详情 |
| N-棕榈酰-植物鞘氨醇 | 56-1163-4 | 查看 |
一、精确的分子标识与仿生结构
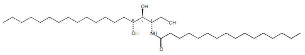
N-棕榈酰-植物鞘氨醇拥有明确的化学身份,其CAS登记号为111149-09-8。其系统名称“Hexadecanamide,N-[(1S,2S,3R)-2,3-二羟基-1-(羟甲基)十七烷基]-”精确描述了其完整的立体化学结构。名称中的“(1S,2S,3R)”指明了植物鞘氨醇骨架三个手性中心的绝对构型,确保了其与生物体内天然存在的立体构型一致。
从分子式C34H69NO4和分子量555.92道尔顿来看,这是一个结构较大的双亲分子。其结构核心在于两个关键部分的结合:
1.亲水头部:源自植物鞘氨醇,其独特的三羟基结构(相较于普通鞘氨醇的二羟基)赋予了该区域更强的亲水性和氢键形成能力,这对于稳定细胞间脂质双层中的水合结构至关重要。
2.疏水尾部:一个完全饱和的十六碳棕榈酰基(C16:0)。这个长链饱和脂肪酸是构筑天然皮肤屏障的经典组分,其长度与稳定性使其能够与邻近的脂质分子发生紧密的疏水相互作用和范德华力。
这种“长链酰基+多羟基鞘氨醇”的构架,通过SMILES和等构SMILES字符串得以清晰表征。而其精确的立体化学信息则被完整编码在国际化学标识符InChI及其密钥(InChIKey=IVBULNXGVIHEKN-MVIDNBQJSA-N)中,确保了其在科学研究中的唯一性与可追溯性。
二、高纯度产品信息与研究价值
本产品严格遵循研究级标准,其纯度经认证分析证书确认为>98%,以纯净固态形式供应,并需在冷冻条件下储存以确保长期稳定性。这种高标准的纯度控制,对于其在细胞实验、制剂研究及作为分析标准物中的应用至关重要,能有效避免因杂质干扰而导致的错误结论。
三、核心功能:皮肤屏障的“长效修复师”
N-棕榈酰-植物鞘氨醇的核心价值,源于其长链棕榈酰基与植物鞘氨醇三羟基结构共同赋予的卓越屏障修护与稳定特性。
1.卓越的屏障构建与稳定能力
皮肤角质层屏障的功能依赖于细胞间脂质形成致密、有序的层状液晶结构。N-棕榈酰-植物鞘氨醇中的棕榈酰基(C16)因其合适的链长和直链饱和结构,能够像“锚”一样深深地嵌入脂质双层中,与周围的神经酰胺、胆固醇和游离脂肪酸发生强烈的疏水相互作用。这种作用能显著增强脂质双层的刚性与密实度,从而更有效地“锁住”水分,减少经皮水分流失。其植物鞘氨醇部分的多羟基结构则能通过氢键网络,帮助维持脂质分子头部的有序排列与水合作用,共同构建一个完整、坚固的皮肤“砖墙结构”。
2.持久的屏障修复效果
相较于短链或中链的酰化衍生物,长链的棕榈酰基使其分子极性更低,与皮肤角质层脂质的相容性更高。这一特性不仅可能促进其自身的渗透与滞留,更意味着一旦整合进屏障中,它将更不易被洗脱或快速代谢,从而能够提供更持久、更稳定的屏障修复效果。这对于需要长期维持屏障功能的干性皮肤或受损皮肤而言,具有重要的应用意义。
3.潜在的细胞信号调节功能
作为鞘脂家族的一员,N-棕榈酰-植物鞘氨醇同样可能参与细胞的信号传导。它可作为前体被细胞代谢利用,或直接模拟内源性神经酰胺的部分功能,参与调控角质形成细胞的分化、增殖与凋亡过程,从而从更深的层面促进皮肤屏障的自我更新与健康循环。
综上所述,N-棕榈酰-植物鞘氨醇是一款高度“仿生”的功能性鞘脂。其精心设计的分子结构——结合了植物鞘氨醇的强亲水性与棕榈酰基的长链疏水性,使其成为构筑和稳定皮肤物理屏障的理想“建材”。无论是在探索皮肤屏障微观结构的基础研究中,还是在开发针对极度干燥、屏障严重受损皮肤的高效修复产品时,它都因其卓越的屏障构建能力和潜在的长效性而展现出巨大的应用价值。它代表了通过模拟自然来实现更优皮肤健康解决方案的科学路径。
作为Larodan 在中国区总代理,环球ug登录科技有限公司将为中国客户提供全面的Larodan 产品以及客户订制化服务,欢迎大家随时联系我们。
上一篇:Larodan N-辛酰-植物鞘氨醇:源自酵母的精准屏障修护分子
下一篇:下面没有链接了
微信扫码在线客服